Hair Playa Clean Hair Care From California Cosmetic Proof Vancouver Beauty Nail Art And Lifestyle Blog
Playa Haircare Best Playa Haircare Products
Brand Spotlight Playa Hair Care Makeup And Beauty Blog
Hair Playa Clean Hair Care From California Cosmetic Proof Vancouver Beauty Nail Art And Lifestyle Blog
Playa Hair Care Review Reviews And Other Stuff
Playa Haircare Best Playa Haircare Products
Playa Beauty Hair Care Review Youtube
Playa Hair Care Review Youtube
Playa Natural Hair Care Shampoo Conditioner More
Playa Hair Care Review Reviews And Other Stuff
Playa Shampoo Conditioner Retail 66 Worth It Beauty
Playa S Natural Scalp Care Products Are The Secret To Healthier Hair Editor Reviews Allure
Playa S Natural Scalp Care Products Are The Secret To Healthier Hair Editor Reviews Allure
Playa S Natural Scalp Care Products Are The Secret To Healthier Hair Editor Reviews Allure
Hair Playa Clean Hair Care From California Cosmetic Proof Vancouver Beauty Nail Art And Lifestyle Blog
Playa Hair Care Review Reviews And Other Stuff
Playa S Natural Scalp Care Products Are The Secret To Healthier Hair Editor Reviews Allure
Playa Instagram Posts Stories And Followers Gramho Com
A Few Drops Of Playa Ritual Hair Oil Keep My Hair Soft Shiny And Healthy
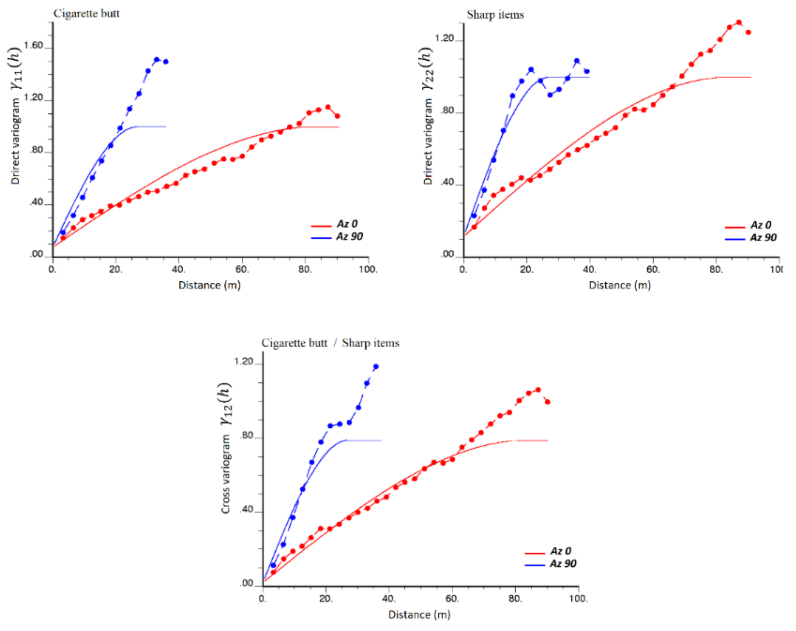
Ijerph Free Full Text Multivariate Geostatistical Modeling And Risk Analysis Of Beach Litter A Case Study Of Playa Blanca Beach Chile
Ijerph Free Full Text Multivariate Geostatistical Modeling And Risk Analysis Of Beach Litter A Case Study Of Playa Blanca Beach Chile
Inside Clean Hair Care Brand Playa S Product Expansion Plan Glossy
Playa Grande Resort Holiday Residences Cabo San Lucas
Questions Answers Playa Hair Care Products
Https Encrypted Tbn0 Gstatic Com Images Q Tbn And9gcravalnvc3lgljfsmu4koi4htwcs2sskttjdz0s9aabvwkpbcokmhmaypsxy Mztl7aepn9rx9rl Xfzei65q Usqp Cau Ec 45799660
Playa S Natural Scalp Care Products Are The Secret To Healthier Hair Editor Reviews Allure
Ijerph Free Full Text Multivariate Geostatistical Modeling And Risk Analysis Of Beach Litter A Case Study Of Playa Blanca Beach Chile
Results Of The Isotopic Analysis Of Carbon Nitrogen And Sulfur Download Scientific Diagram
Playa Shampoo Conditioner Retail 66 Worth It Beauty
Results Of The Isotopic Analysis Of Carbon Nitrogen And Sulfur Download Scientific Diagram
Beach Apartment Arguineguin Mg Jm Apartment La Playa De Arguineguin
A Few Drops Of Playa Ritual Hair Oil Keep My Hair Soft Shiny And Healthy
Beauty Rituals On The Beach The Connecting Word
A Few Drops Of Playa Ritual Hair Oil Keep My Hair Soft Shiny And Healthy
Ijerph Free Full Text Multivariate Geostatistical Modeling And Risk Analysis Of Beach Litter A Case Study Of Playa Blanca Beach Chile
Ijerph Free Full Text Multivariate Geostatistical Modeling And Risk Analysis Of Beach Litter A Case Study Of Playa Blanca Beach Chile
Hair Playa Clean Hair Care From California Cosmetic Proof Vancouver Beauty Nail Art And Lifestyle Blog
Satelital From The Air Playa Bavaro Punta Cana Republica Dominicana
The Best Sulfate Free Shampoos To Suds Up Your Strands
Ijerph Free Full Text Multivariate Geostatistical Modeling And Risk Analysis Of Beach Litter A Case Study Of Playa Blanca Beach Chile
Beach Apartment Arguineguin Mg Jm Apartment La Playa De Arguineguin
Ijerph Free Full Text Multivariate Geostatistical Modeling And Risk Analysis Of Beach Litter A Case Study Of Playa Blanca Beach Chile Html
Pdf Pollution And Contamination Assessment Of Heavy Metals In The Sediments Of Jazmurian Playa In Southeast Iran
Ijerph Free Full Text Multivariate Geostatistical Modeling And Risk Analysis Of Beach Litter A Case Study Of Playa Blanca Beach Chile
Ijerph Free Full Text Multivariate Geostatistical Modeling And Risk Analysis Of Beach Litter A Case Study Of Playa Blanca Beach Chile
Primera Linea De Playa Centrico Y Soleado Apartment Fuengirola
Https Encrypted Tbn0 Gstatic Com Images Q Tbn And9gcrp07qkeqnfx Ps1e863qh1kriycmjgxpiwherert4j4visiqtpczdrxx6e0echxldmuchb J6mymeeagxpww Usqp Cau Ec 45799660
Apartamento Playa Agaete Apartment Agaete
Ijerph Free Full Text Multivariate Geostatistical Modeling And Risk Analysis Of Beach Litter A Case Study Of Playa Blanca Beach Chile
Intimate Elegant And Candlelit Playa Balandra Elopement Laptrinhx News
640 Por La Playa Ideas House Design Office Table Design Office Desk Designs
Apartamento Estudio Moderno Playa Central De Mojacar Apartment Mojacar
Ijerph Free Full Text Multivariate Geostatistical Modeling And Risk Analysis Of Beach Litter A Case Study Of Playa Blanca Beach Chile
Apartamento Playa San Lorenzo Apartment Gijon
El Medano Playa Del Cabezo Apartment El Medano
Nosara S Next Hot Spots And The Facts That Make It So Nosara Real Estate Costa Rica
A Few Drops Of Playa Ritual Hair Oil Keep My Hair Soft Shiny And Healthy
Make Your Effortless Hair Dreams Come True With Playa Hair Essentials Effortless Hairstyles Playa Gift
My Golden Life Seo Eun Soo Frolicks At The Beach Golden Life Korean Entertainment News Actresses
Hotel For Children In Majorca Iberostar Playa De Muro
All Inclusive Hotel On The Beach In Majorca Iberostar Albufera Playa
Ocean Front Corto Maltes 104 In Downtown Apartment Playa Del Carmen
Pin By Amanda Stratton On Beach Beach Quotes I Love The Beach Ocean Quotes
Apartamento Playa San Lorenzo Apartment Gijon
Piso Lujo Marbella Playa Apartment Marbella
Spa Hotel In Fuerteventura Iberostar Playa Gaviotas
I Spend A Lot Of Money On Hair Color Here Are The 8 Things I Do To Protect It
Playa Hair Care Review Reviews And Other Stuff
Intimate Elegant And Candlelit Playa Balandra Elopement Laptrinhx News
9 Best Hair Growth Oils Of 2021 For Every Hair Type And Texture
Matrix Total Results Curl Loose Waves Surf Waves Spray 145ml Inci Beauty
Intimate Elegant And Candlelit Playa Balandra Elopement Laptrinhx News
9 Best Hair Growth Oils Of 2021 For Every Hair Type And Texture
Apartamento Estudio Moderno Playa Central De Mojacar Apartment Mojacar
Hyperlinks Analysis Research Papers Academia Edu
Best Holiday Hair Products And Treatments In London Cn Traveller
Pdf Pollution And Contamination Assessment Of Heavy Metals In The Sediments Of Jazmurian Playa In Southeast Iran
Appartamento In Centro Playa Del Ingles Apartment Playa Del Ingles
Beauty Rituals On The Beach The Connecting Word
Intimate Elegant And Candlelit Playa Balandra Elopement Laptrinhx News
The Secret To Vibrant Hair Is Color Depositing Shampoo
Somewhere Cloudy Instagram Posts Stories And Followers Gramho Com
Playa Company Profile Acquisition Investors Pitchbook
Calm Cosy And Bright Apartment Renovated In Playa Del Ingles Wifi Free Apartment Maspalomas
Intimate Elegant And Candlelit Playa Balandra Elopement Laptrinhx News
Birdcage Gay Men Resort And Lifestyle Hotel Holiday Residences In Playa Del Ingles Canary Islands Spain
Inventory Analysis 02 Landscape And Urbanism Architecture Urban Landscape Design Landscape Architecture Graphics
Spa Hotel In Fuerteventura Iberostar Playa Gaviotas












0 komentar:
Posting Komentar